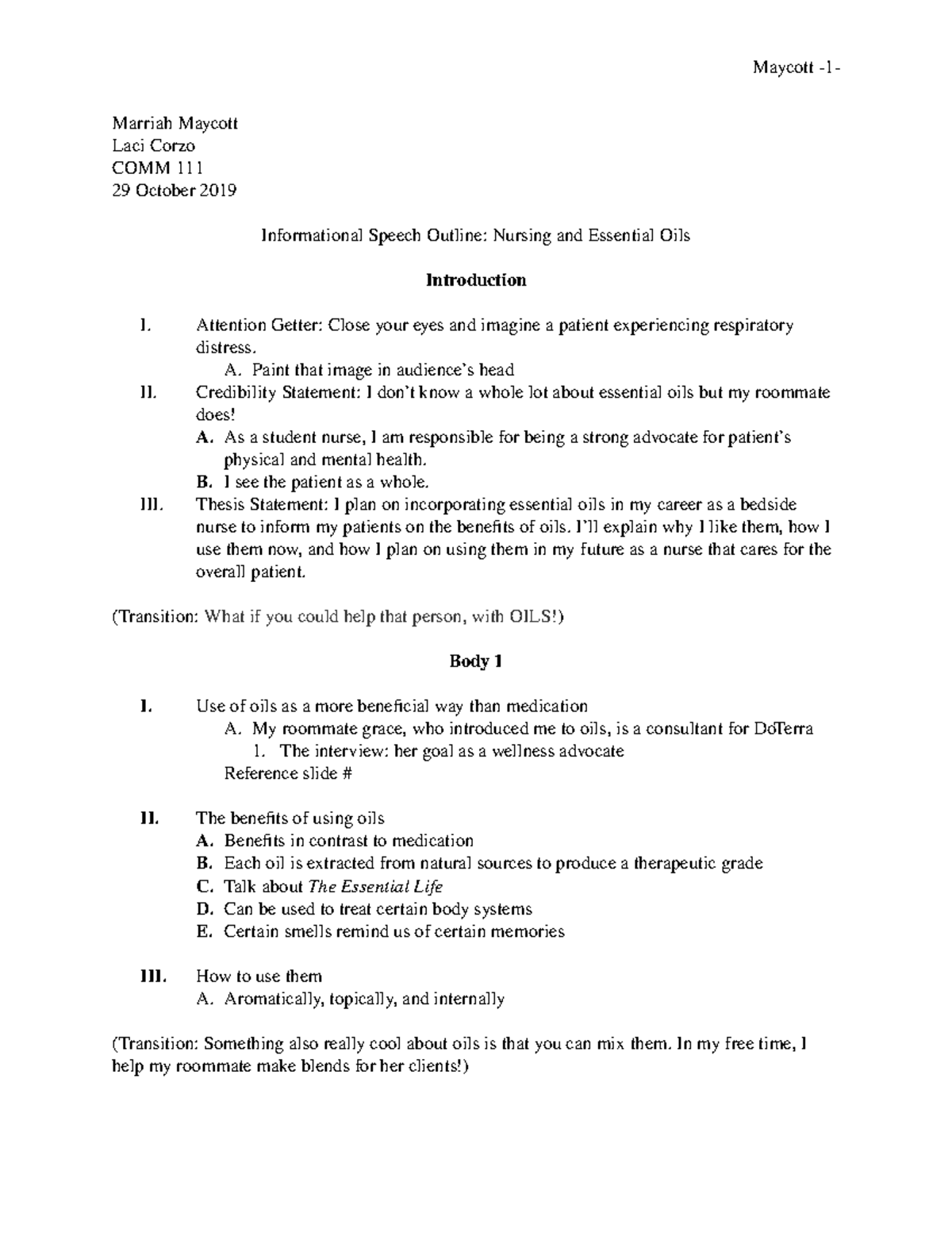
Special Occasion Speech Outline . Your special occasion speech outline should include an introduction, body, and conclusion. This checklist will help you address your special occasion speech ideas properly and consider all the key details while elaborating on a speech.
Special Occasion Speech Outline For A Wedding at Stanley Ackerman blog from giorlvvqc.blob.core.windows.net
Your special occasion speech outline should include an introduction, body, and conclusion. Learn how to write and deliver speeches for different occasions, such as weddings, awards, graduations, and more. Learn how to write a special occasion speech for various events and purposes with tips, checklist, and examples.
Special Occasion Speech Outline For A Wedding at Stanley Ackerman blog
Special occasion speeches include toasts at weddings, eulogies at funerals, acceptance speeches at award ceremonies, and farewell speeches at retirements. See examples of speeches, get tips and advice, and order a custom. Find out the types of speeches, topics, and outlines for. This checklist will help you address your special occasion speech ideas properly and consider all the key details while elaborating on a speech.
Source: www.studocu.com
Special Occasion Speech Outline - Explore speeches for special occasions with outlines. Learn how to write and deliver speeches for different occasions, such as weddings, awards, graduations, and more. Special occasion speeches include toasts at weddings, eulogies at funerals, acceptance speeches at award ceremonies, and farewell speeches at retirements. Your special occasion speech outline should include an introduction, body, and conclusion. Learn how to craft.
Source: www.studocu.com
Special Occasion Speech Outline - Explore speeches for special occasions with outlines. Find out how to research, prepare, and deliver your speech with. Learn how to write and deliver speeches for different occasions, such as weddings, awards, graduations, and more. In the introduction, grab the. Learn how to craft a heartfelt and effective speech for any special occasion, from weddings to graduations.
Source: www.studypool.com
Special Occasion Speech Outline - Special occasion speeches include toasts at weddings, eulogies at funerals, acceptance speeches at award ceremonies, and farewell speeches at retirements. Find out how to research, prepare, and deliver your speech with. Explore speeches for special occasions with outlines. Learn how to write and deliver speeches for different occasions, such as weddings, awards, graduations, and more. Learn how to craft a.
Source: sgasd.x.fc2.com
Special Occasion Speech Outline - Learn how to write and deliver speeches for different occasions, such as weddings, awards, graduations, and more. Find out how to research, prepare, and deliver your speech with. Learn how to write a special occasion speech for various events and purposes with tips, checklist, and examples. This checklist will help you address your special occasion speech ideas properly and consider.
Source: www.assignments4u.com
Special Occasion Speech Outline - Special occasion speeches include toasts at weddings, eulogies at funerals, acceptance speeches at award ceremonies, and farewell speeches at retirements. In the introduction, grab the. Learn how to write a special occasion speech for various events and purposes with tips, checklist, and examples. Learn how to write and deliver speeches for different occasions, such as weddings, awards, graduations, and more..
Source: www.examples.com
Special Occasion Speech Outline - Explore speeches for special occasions with outlines. Your special occasion speech outline should include an introduction, body, and conclusion. Learn how to craft a heartfelt and effective speech for any special occasion, from weddings to graduations. This checklist will help you address your special occasion speech ideas properly and consider all the key details while elaborating on a speech. Learn.
Source: www.formsbank.com
Special Occasion Speech Outline - This checklist will help you address your special occasion speech ideas properly and consider all the key details while elaborating on a speech. Your special occasion speech outline should include an introduction, body, and conclusion. Learn how to write a special occasion speech for various events and purposes with tips, checklist, and examples. Find out the types of speeches, topics,.
Source: www.studocu.com
Special Occasion Speech Outline - Special occasion speeches include toasts at weddings, eulogies at funerals, acceptance speeches at award ceremonies, and farewell speeches at retirements. See examples of speeches, get tips and advice, and order a custom. Your special occasion speech outline should include an introduction, body, and conclusion. Learn how to write a special occasion speech for various events and purposes with tips, checklist,.
Source: www.examples.com
Special Occasion Speech Outline - Find out the types of speeches, topics, and outlines for. Explore speeches for special occasions with outlines. Your special occasion speech outline should include an introduction, body, and conclusion. This checklist will help you address your special occasion speech ideas properly and consider all the key details while elaborating on a speech. Learn how to write and deliver speeches for.
Source: www.studocu.com
Special Occasion Speech Outline - Learn how to write and deliver speeches for different occasions, such as weddings, awards, graduations, and more. Explore speeches for special occasions with outlines. Learn how to write a special occasion speech for various events and purposes with tips, checklist, and examples. This checklist will help you address your special occasion speech ideas properly and consider all the key details.
Source: www.sampletemplates.com
Special Occasion Speech Outline - Learn how to write a special occasion speech for various events and purposes with tips, checklist, and examples. See examples of speeches, get tips and advice, and order a custom. Learn how to write and deliver speeches for different occasions, such as weddings, awards, graduations, and more. This checklist will help you address your special occasion speech ideas properly and.
Source: www.studocu.com
Special Occasion Speech Outline - Find out how to research, prepare, and deliver your speech with. See examples of speeches, get tips and advice, and order a custom. Explore speeches for special occasions with outlines. Special occasion speeches include toasts at weddings, eulogies at funerals, acceptance speeches at award ceremonies, and farewell speeches at retirements. Find out the types of speeches, topics, and outlines for.
Source: georgiacoffee.com
Special Occasion Speech Outline - Learn how to craft a heartfelt and effective speech for any special occasion, from weddings to graduations. Explore speeches for special occasions with outlines. Learn how to write a special occasion speech for various events and purposes with tips, checklist, and examples. Learn how to write and deliver speeches for different occasions, such as weddings, awards, graduations, and more. Special.
Source: childhealthpolicy.vumc.org
Special Occasion Speech Outline - Learn how to write a special occasion speech for various events and purposes with tips, checklist, and examples. This checklist will help you address your special occasion speech ideas properly and consider all the key details while elaborating on a speech. Learn how to craft a heartfelt and effective speech for any special occasion, from weddings to graduations. In the.
Source: www.scribd.com
Special Occasion Speech Outline - Find out the types of speeches, topics, and outlines for. Explore speeches for special occasions with outlines. In the introduction, grab the. Your special occasion speech outline should include an introduction, body, and conclusion. Find out how to research, prepare, and deliver your speech with.
Source: www.template.net
Special Occasion Speech Outline - In the introduction, grab the. Explore speeches for special occasions with outlines. Your special occasion speech outline should include an introduction, body, and conclusion. Find out how to research, prepare, and deliver your speech with. Learn how to write a special occasion speech for various events and purposes with tips, checklist, and examples.
Source: giorlvvqc.blob.core.windows.net
Special Occasion Speech Outline - Learn how to write a special occasion speech for various events and purposes with tips, checklist, and examples. Find out the types of speeches, topics, and outlines for. Learn how to craft a heartfelt and effective speech for any special occasion, from weddings to graduations. Learn how to write and deliver speeches for different occasions, such as weddings, awards, graduations,.
Source: funnypng.blogspot.com
Special Occasion Speech Outline - Learn how to craft a heartfelt and effective speech for any special occasion, from weddings to graduations. Explore speeches for special occasions with outlines. This checklist will help you address your special occasion speech ideas properly and consider all the key details while elaborating on a speech. Learn how to write a special occasion speech for various events and purposes.